Menu Principal:
Lo primero que tienes que tener en cuenta son las unidades. ¡Cuidado!
¿Que quiero decir con eso? Pues si la fórmula está aplicada a una cota (Length) (distancia en mm), o a un parámetro de tipo ángulo (Angle).
Veamos un ejemplo y lo entendemos.
Supongamos que tengo un sketch con dos cotas y quiero que una sea la raíz cúbica de la otra. Esto es una forma de hablar “coloquial” (de mi forma, vaya..). Pero realmente lo que queremos, hablando con propiedad es que “el valor numérico de una, sin tener en cuenta las unidades, sea la raíz cúbica de la otra”. Porque si nó, las unidades resultantes serían
. Y eso no lo admite CATIA V5 para una cota de tipo “Length”.

Conocimientos previos:
| ► | Sabemos que podemos poner la raíz cuadrada usando en fórmulas: | |
| sqrt(real);real | ||
| ► | Un número Real NO tiene dimensiones (son adimensionales); por ejemplo estos tres: -10 ; 2 ; -15.23 | |
| ► | Un número dimensional es igual un número real multiplicado por su unidad; por ejemplo: 15.21 (real) multiplicado por 1mm = 15.21mm. Podría escribirse así: 15.21 * 1mm | |
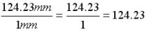
| ► | Y lo contrario: si tengo un número que, de por sí, es “dimensional” (que tiene dimensiones o unidades de medida), para convertirlo en “adimensional” (número Real) lo tendríamos que dividir por la UNIDAD de su misma dimensión. | |
| • | Ejemplo: 124.23mm para convertirlo a Real será: |
|
Veamos que significa cada parte:
| ► | sqrt : Significa raíz cuadrada. | |
| ► | (real): Significa que lo que tenemos que poner dentro del paréntesis es un número REAL. Y eso significa que por ejemplo: “100mm” NO es un valor válido. | |
| ► | ; real : Significa que el resultado que devuelve la función “sqrt” es un número real, indicándose detrás del punto y coma. | |
Vamos a poner, la cota de la derecha, como la raíz cuadrada de la de la izquierda.
| 1.- | Damos doble clic a la cota de la derecha y colocamos el cursor sobre el campo de la cota.![]() |
|||||||||
| 2.- | Con el botón derecho damos a “Edit formula..” ![]() Nos sale este cuadro:
|
|||||||||
| 3.- | Escribimos en el cuadro inferior (detrás del igual, que aparece arriba a la derecha) lo siguiente: | |||||||||
|
||||||||||
Traducción libre...
“Las unidades no son homogéneas (constantes las consideramos igual al metro).”
“Le advertimos que si no especifica unidades para esa constante, el Sistema Internacional de Unidades se aplica por defecto. Ejemplo: 10 debería escribirlo como 10mm o bien MiParametroReal debería escribirlo como MiParametroReal *1mm”
Por que en el S. I. la unidad es el metro. Y la medida sale multiplicada por mil.
| • | Para terminar y corregir el error, ponemos: * 1mm |
Y entonces queda:

Ahora la pregunta era “raíz cuadrada, cúbica, etc..”. Y eso sólo vale para “raíz cuadrada”.
Para la “exponenciación” la función que utilizamos es “**” (los dos asteriscos seguidos).
Sabemos (si no yo lo recuerdo) que:
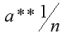
se escribe como: a**n (a elevado a la enésima potencia)
se escribe como:
| 2.- | Por lo tanto para la “raíz cúbica”, sería: ( ( PartBody\Sketch.1\Offset.9\Offset /1mm) ** (1/3) )*1mm Donde “PartBody\Sketch.1\Offset.9\Offset” es el nombre de una cota o parámetro de tipo longitud Por este método también podemos poner la raíz cuadrada: ( ( PartBody\Sketch.1\Offset.9\Offset /1mm) ** (1/2) )*1mm O elevar un número a una potencia de 3: ( ( PartBody\Sketch.1\Offset.9\Offset /1mm) ** (3) )*1mm |
Ver Video en mi canal YouTube, CATIA_V5_Unidades: https://youtu.be/MmKHqUJu7Uo
Referencias:
https://www.muchocatia.es/nivel0/074-param-unid-form.html
https://www.muchocatia.es/nivel0/021-acotar-minutos-segundos.html
El Juanri en Sevilla, a 26-2-2010
| Dirija sus preguntas a: juanri@muchocatia.es | CATIA V5 R27 |